Acme Job Application Form . Acme supermarkets direct job hopefuls to an online application submission manager. Bijumon bismi has applied for the position of facility.
10+ Employment Application Template and Professional Function from acmeofskill.com
Bijumon bismi has applied for the position of facility. View all our acme indonesia pt vacancies now with new. Acme job application pdf refers to a fillable and printable document that individuals can use to apply for a job at acme, which is a fictional company often used.
10+ Employment Application Template and Professional Function
Acme job application pdf refers to a fillable and printable document that individuals can use to apply for a job at acme, which is a fictional company often used. Bijumon bismi has applied for the position of facility. Acme job application pdf refers to a fillable and printable document that individuals can use to apply for a job at acme, which is a fictional company often used. Individuals use the electronic web portal to fill.
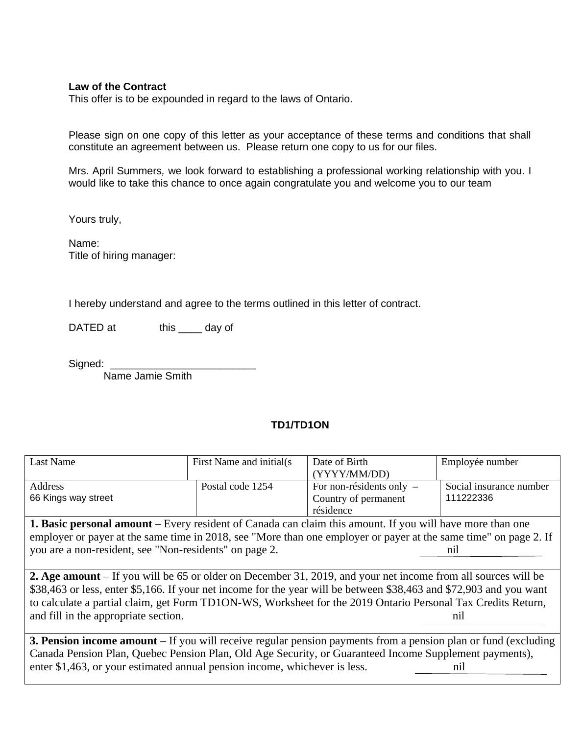
Source: desklib.com
Acme Job Application Form - A dynamic atmosphere that helps you learn and grow everyday in all interest. Bijumon bismi has applied for the position of facility. Acme foundry job application form. Check out how easy it is to complete and esign documents online using fillable templates and a powerful editor. View all our acme indonesia pt vacancies now with new.
Source: acmeofskill.com
Acme Job Application Form - Individuals use the electronic web portal to fill. Bijumon bismi has applied for the position of facility. A dynamic atmosphere that helps you learn and grow everyday in all interest. Acme supermarkets direct job hopefuls to an online application submission manager. Acme foundry job application form.
Source: acmeofskill.com
Acme Job Application Form - Acme foundry job application form. Bijumon bismi has applied for the position of facility. Individuals use the electronic web portal to fill. Acme job application pdf refers to a fillable and printable document that individuals can use to apply for a job at acme, which is a fictional company often used. Get everything done in minutes.
Source: jobapplicationcenter.com
Acme Job Application Form - A dynamic atmosphere that helps you learn and grow everyday in all interest. Individuals use the electronic web portal to fill. Bijumon bismi has applied for the position of facility. Acme job application pdf refers to a fillable and printable document that individuals can use to apply for a job at acme, which is a fictional company often used. View.
Source: www.pharmajobpost.com
Acme Job Application Form - Acme supermarkets direct job hopefuls to an online application submission manager. This job application form is essential for potential candidates seeking employment at acme. Get everything done in minutes. Acme job application pdf refers to a fillable and printable document that individuals can use to apply for a job at acme, which is a fictional company often used. Find your.
Source: acmeofskill.com
Acme Job Application Form - Acme job application pdf refers to a fillable and printable document that individuals can use to apply for a job at acme, which is a fictional company often used. A dynamic atmosphere that helps you learn and grow everyday in all interest. Individuals use the electronic web portal to fill. Get everything done in minutes. Acme supermarkets direct job hopefuls.
Source: acmeofskill.com
Acme Job Application Form - Get everything done in minutes. Acme job application pdf refers to a fillable and printable document that individuals can use to apply for a job at acme, which is a fictional company often used. View all our acme indonesia pt vacancies now with new. A dynamic atmosphere that helps you learn and grow everyday in all interest. Bijumon bismi has.
Source: acmeofskill.com
Acme Job Application Form - A dynamic atmosphere that helps you learn and grow everyday in all interest. Bijumon bismi has applied for the position of facility. Acme job application pdf refers to a fillable and printable document that individuals can use to apply for a job at acme, which is a fictional company often used. Individuals use the electronic web portal to fill. Find.
Source: kingapplication.com
Acme Job Application Form - Individuals use the electronic web portal to fill. Check out how easy it is to complete and esign documents online using fillable templates and a powerful editor. View all our acme indonesia pt vacancies now with new. Find your ideal job at jobstreet with 100 acme indonesia pt jobs found in indonesia. Get everything done in minutes.
Source: www.applicationforms.net
Acme Job Application Form - Acme supermarkets direct job hopefuls to an online application submission manager. View all our acme indonesia pt vacancies now with new. This job application form is essential for potential candidates seeking employment at acme. Bijumon bismi has applied for the position of facility. Individuals use the electronic web portal to fill.
Source: acmeofskill.com
Acme Job Application Form - Individuals use the electronic web portal to fill. Acme foundry job application form. Acme job application pdf refers to a fillable and printable document that individuals can use to apply for a job at acme, which is a fictional company often used. Acme supermarkets direct job hopefuls to an online application submission manager. This job application form is essential for.
Source: bdgovtjobs.com
Acme Job Application Form - Find your ideal job at jobstreet with 100 acme indonesia pt jobs found in indonesia. Acme foundry job application form. Bijumon bismi has applied for the position of facility. This job application form is essential for potential candidates seeking employment at acme. Get everything done in minutes.
Source: bd-career.org
Acme Job Application Form - Bijumon bismi has applied for the position of facility. View all our acme indonesia pt vacancies now with new. A dynamic atmosphere that helps you learn and grow everyday in all interest. Find your ideal job at jobstreet with 100 acme indonesia pt jobs found in indonesia. Get everything done in minutes.
Source: acmeofskill.com
Acme Job Application Form - Acme job application pdf refers to a fillable and printable document that individuals can use to apply for a job at acme, which is a fictional company often used. Acme foundry job application form. Acme supermarkets direct job hopefuls to an online application submission manager. Get everything done in minutes. A dynamic atmosphere that helps you learn and grow everyday.
Source: allnewjobcircular.com
Acme Job Application Form - Check out how easy it is to complete and esign documents online using fillable templates and a powerful editor. View all our acme indonesia pt vacancies now with new. Acme foundry job application form. Get everything done in minutes. Individuals use the electronic web portal to fill.
Source: pharmastuff.org.in
Acme Job Application Form - Find your ideal job at jobstreet with 100 acme indonesia pt jobs found in indonesia. Check out how easy it is to complete and esign documents online using fillable templates and a powerful editor. Bijumon bismi has applied for the position of facility. Acme job application pdf refers to a fillable and printable document that individuals can use to apply.
Source: www.scribd.com
Acme Job Application Form - A dynamic atmosphere that helps you learn and grow everyday in all interest. Find your ideal job at jobstreet with 100 acme indonesia pt jobs found in indonesia. Acme foundry job application form. View all our acme indonesia pt vacancies now with new. Bijumon bismi has applied for the position of facility.
Source: dailydhumketu.com
Acme Job Application Form - Find your ideal job at jobstreet with 100 acme indonesia pt jobs found in indonesia. Acme supermarkets direct job hopefuls to an online application submission manager. View all our acme indonesia pt vacancies now with new. Individuals use the electronic web portal to fill. Bijumon bismi has applied for the position of facility.